Официальное опубликование правовых актов
ОФИЦИАЛЬНОЕ ОПУБЛИКОВАНИЕ
Постановление Департамента имущественных и земельных отношений Курганской области от 22.10.2024 № 42-п
"О внесении изменения в постановление Департамента имущественных и земельных отношений Курганской области от 14 ноября 2022 года № 93-п"
(Зарегистрирован 22.10.2024 № 240510042)
Номер опубликования: 4501202410250003
Дата опубликования: 25.10.2024
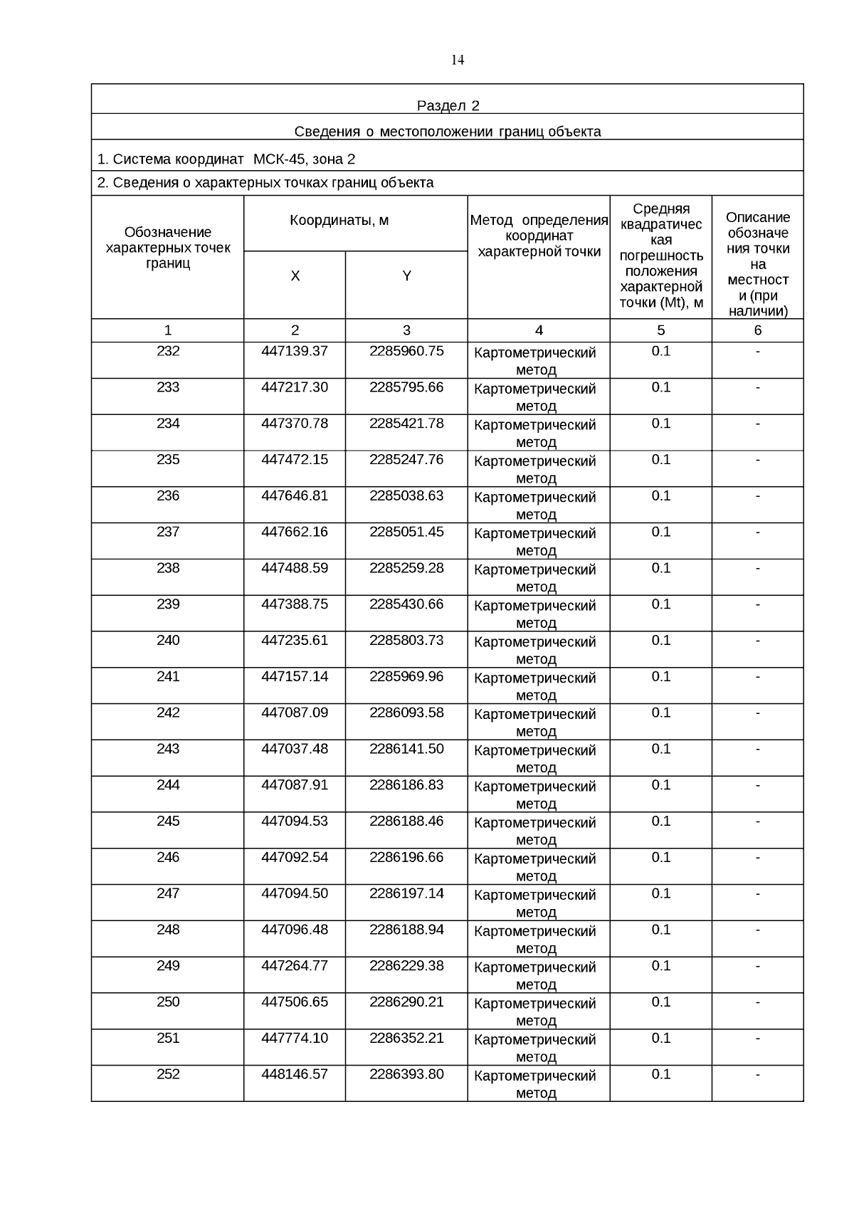
Страница №14 из 31:
Увеличить