Официальное опубликование правовых актов
ОФИЦИАЛЬНОЕ ОПУБЛИКОВАНИЕ
Постановление Департамента имущественных и земельных отношений Курганской области от 22.10.2024 № 39-п
"О внесении изменения в постановление Департамента имущественных и земельных отношений Курганской области от 13 июля 2023 года № 23-п"
(Зарегистрирован 22.10.2024 № 240510039)
Номер опубликования: 4501202410230004
Дата опубликования: 23.10.2024
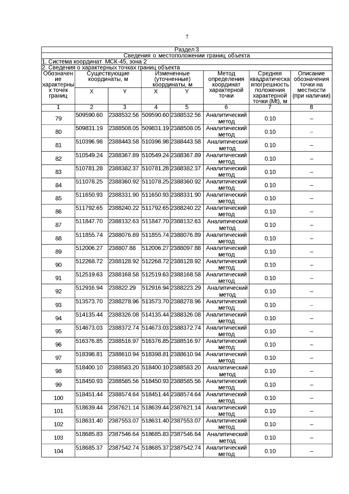
Страница №7 из 33:
Увеличить