Официальное опубликование правовых актов
ОФИЦИАЛЬНОЕ ОПУБЛИКОВАНИЕ
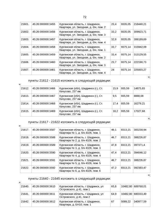
Постановление Департамента имущественных и земельных отношений Курганской области от 29.12.2022 № 104-п
"О внесении изменений в постановление Департамента имущественных и земельных отношений Курганской области от 19 октября 2020 года № 52-п "Об утверждении результатов определения кадастровой стоимости на территории Курганской области"
Номер опубликования: 4501202212300001
Дата опубликования: 30.12.2022
Страница №72 из 1560:
Увеличить