Постановление Департамента государственного регулирования цен и тарифов Курганской области от 17.11.2022 № 52-13
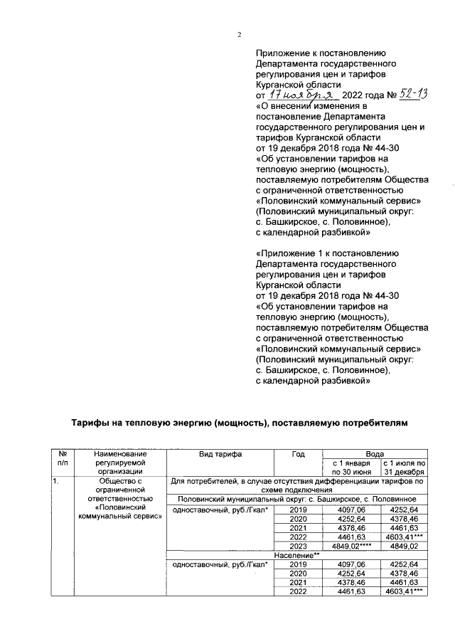
"О внесении изменения в постановление Департамента государственного регулирования цен и тарифов Курганской области от 19 декабря 2018 года № 44-30 "Об установлении тарифов на тепловую энергию (мощность), поставляемую потребителям Общества с ограниченной ответственностью "Половинский коммунальный сервис" (Половинский муниципальный округ: с. Башкирское, с. Половинное), с календарной разбивкой"
"О внесении изменения в постановление Департамента государственного регулирования цен и тарифов Курганской области от 19 декабря 2018 года № 44-30 "Об установлении тарифов на тепловую энергию (мощность), поставляемую потребителям Общества с ограниченной ответственностью "Половинский коммунальный сервис" (Половинский муниципальный округ: с. Башкирское, с. Половинное), с календарной разбивкой"
Номер опубликования: 4501202211210083
Дата опубликования:
21.11.2022
