Постановление Департамента государственного регулирования цен и тарифов Курганской области от 17.11.2022 № 52-159
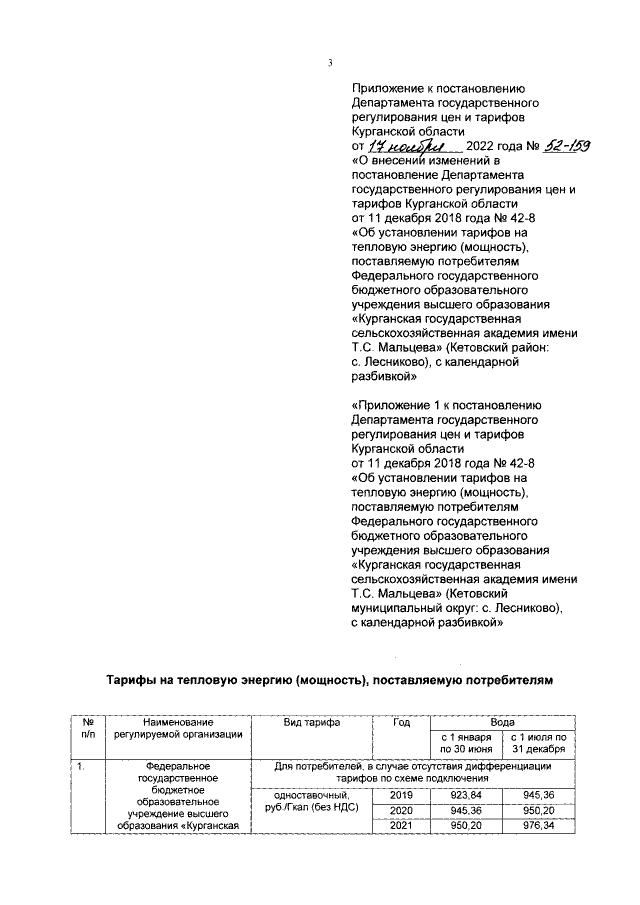
"О внесении изменений в постановление Департамента государственного регулирования цен и тарифов Курганской области от 11 декабря 2018 года № 42-8 "Об установлении тарифов на тепловую энергию (мощность), поставляемую потребителям Федерального государственного бюджетного образовательного учреждения высшего образования "Курганская государственная сельскохозяйственная академия имени Т.С. Мальцева" (Кетовский район: с. Лесниково), с календарной разбивкой"
"О внесении изменений в постановление Департамента государственного регулирования цен и тарифов Курганской области от 11 декабря 2018 года № 42-8 "Об установлении тарифов на тепловую энергию (мощность), поставляемую потребителям Федерального государственного бюджетного образовательного учреждения высшего образования "Курганская государственная сельскохозяйственная академия имени Т.С. Мальцева" (Кетовский район: с. Лесниково), с календарной разбивкой"
Номер опубликования: 4501202211210014
Дата опубликования:
21.11.2022
