Официальное опубликование правовых актов
ОФИЦИАЛЬНОЕ ОПУБЛИКОВАНИЕ
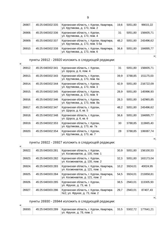
Постановление Департамента имущественных и земельных отношений Курганской области от 24.08.2021 № 40-п
"О внесении изменений в постановление Департамента имущественных и земельных отношений Курганской области от 19 октября 2020 года № 52-п "Об утверждении результатов определения кадастровой стоимости на территории Курганской области"
Номер опубликования: 4501202108250001
Дата опубликования: 25.08.2021
Страница №9 из 544:
Увеличить