Официальное опубликование правовых актов
ОФИЦИАЛЬНОЕ ОПУБЛИКОВАНИЕ
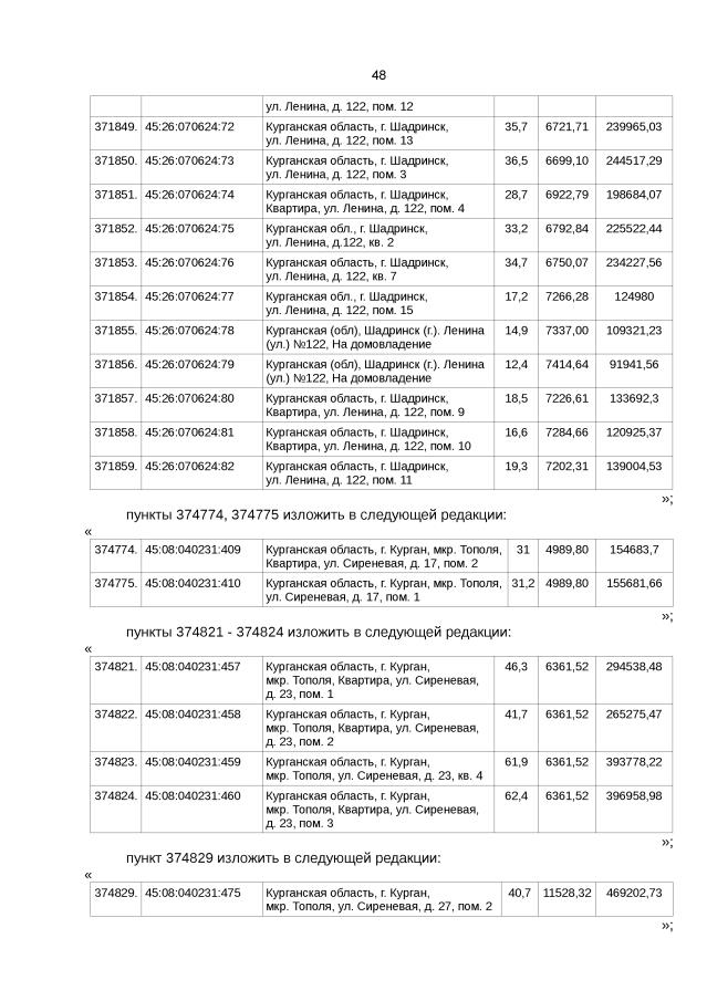
Постановление Департамента имущественных и земельных отношений Курганской области от 14.07.2021 № 30-п
"О внесении изменений в постановление Департамента имущественных и земельных отношений Курганской области от 19 октября 2020 года № 52-п "Об утверждении результатов определения кадастровой стоимости на территории Курганской области"
Номер опубликования: 4501202107150003
Дата опубликования: 15.07.2021
Страница №48 из 73:
Увеличить