Официальное опубликование правовых актов
ОФИЦИАЛЬНОЕ ОПУБЛИКОВАНИЕ
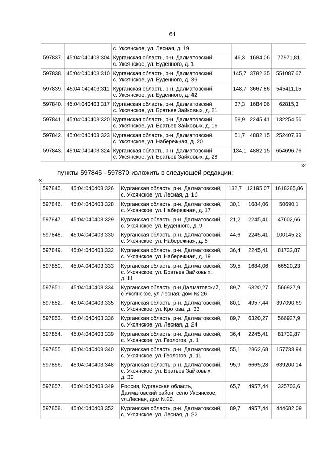
Постановление Департамента имущественных и земельных отношений Курганской области от 01.06.2021 № 19-п
"О внесении изменений в постановление Департамента имущественных и земельных отношений Курганской области от 19 октября 2020 года № 52-п "Об утверждении результатов определения кадастровой стоимости на территории Курганской области"
Номер опубликования: 4501202106020002
Дата опубликования: 02.06.2021
Страница №61 из 82:
Увеличить