Официальное опубликование правовых актов
ОФИЦИАЛЬНОЕ ОПУБЛИКОВАНИЕ
Приказ Главного управления социальной защиты населения Курганской области от 14.09.2020 № 403
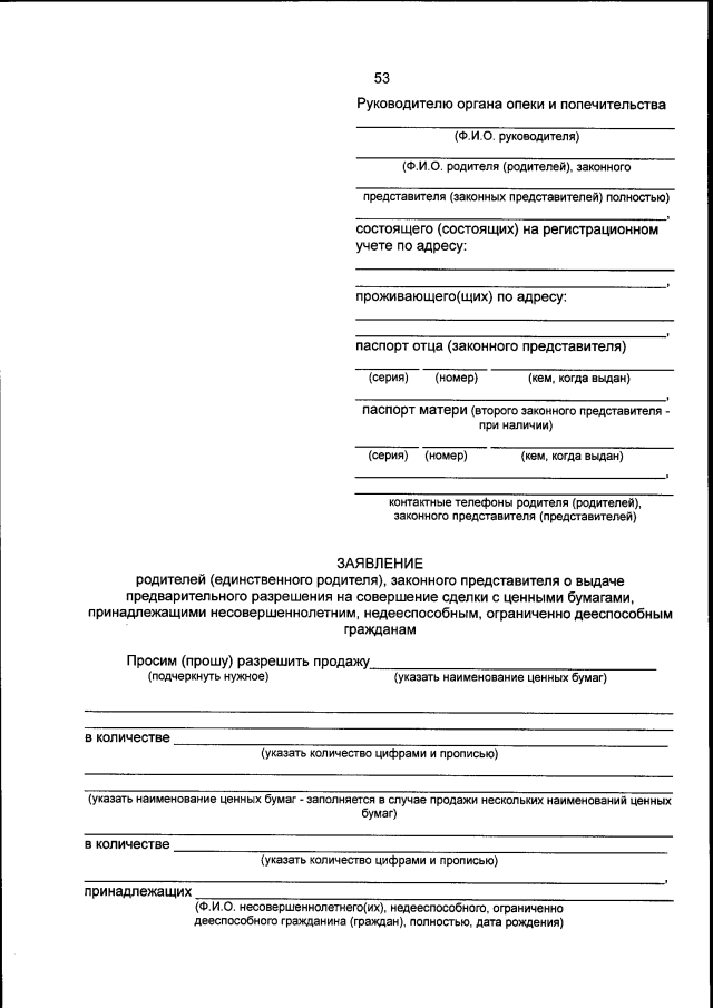
"О внесении изменения в приказ Главного управления социальной защиты населения Курганской области 12 сентября 2019 года № 356 "Об утверждении Административного регламента предоставления органами местного самоуправления муниципальных районов и городских округов Курганской области государственной услуги по выдаче предварительных разрешений (согласий), затрагивающих осуществление имущественных прав несовершеннолетних, недееспособных, ограниченно дееспособных граждан"
Номер опубликования: 4501202009150001
Дата опубликования: 15.09.2020
Страница №53 из 100:
Увеличить