Официальное опубликование правовых актов
ОФИЦИАЛЬНОЕ ОПУБЛИКОВАНИЕ
Приказ Главного управления социальной защиты населения Курганской области от 14.05.2020 № 189
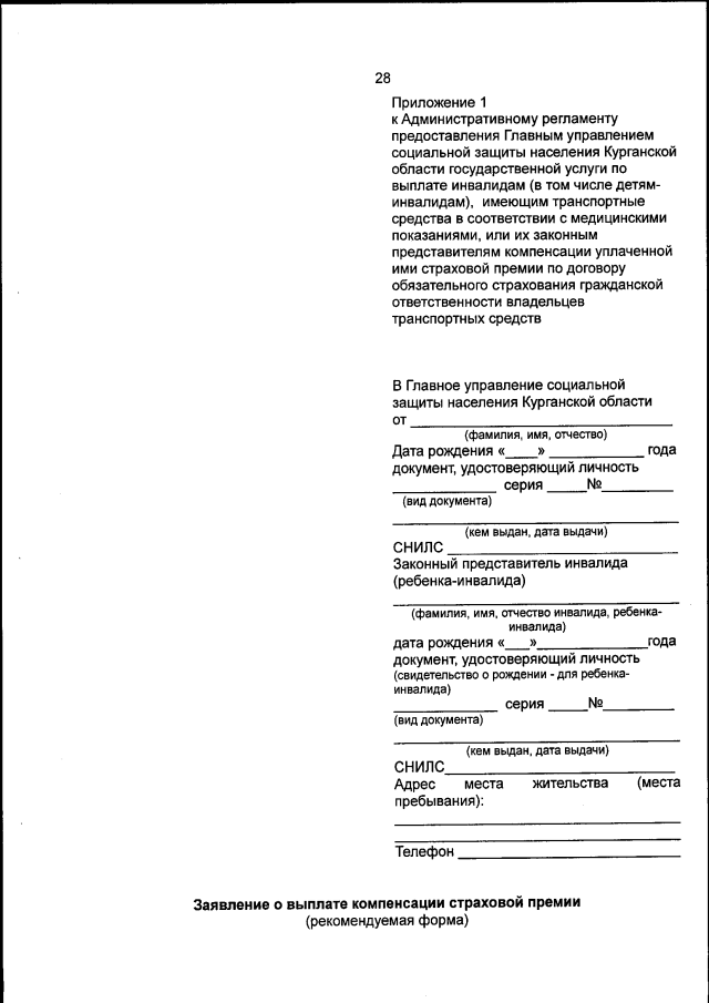
"О внесении изменений в приказ Главного управления социальной защиты населения Курганской области от 23 января 2017 года № 63 "Об утверждении Административного регламента предоставления Главным управлением социальной защиты населения Курганской области государственной услуги по выплате инвалидам (в том числе детям-инвалидам), имеющим транспортные средства в соответствии с медицинскими показаниями, или их законным представителям компенсации уплаченной ими страховой премии по договору обязательного страхования гражданской ответственности владельцев транспортных средств"
Номер опубликования: 4501202005150002
Дата опубликования: 15.05.2020
Страница №28 из 32:
Увеличить