Официальное опубликование правовых актов
ОФИЦИАЛЬНОЕ ОПУБЛИКОВАНИЕ
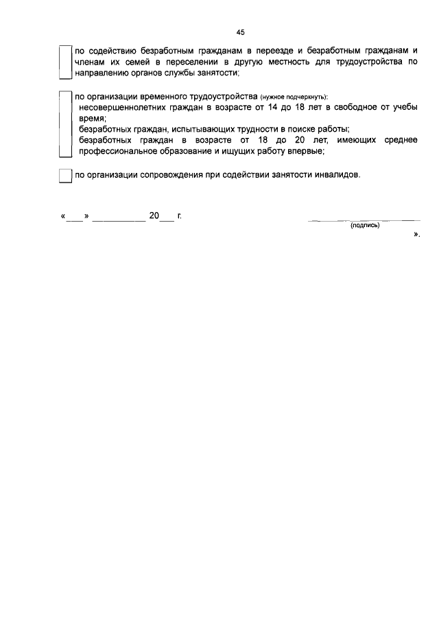
Приказ Главного управления по труду и занятости населения Курганской области от 11.07.2019 № 148
"О внесении изменений в некоторые приказы Главного управления по труду и занятости населения Курганской области"
Номер опубликования: 4501201907120001
Дата опубликования: 12.07.2019
Страница №45 из 66:
Увеличить