Официальное опубликование правовых актов
ОФИЦИАЛЬНОЕ ОПУБЛИКОВАНИЕ
Приказ Главного управления социальной защиты населения Курганской области от 16.11.2018 № 530
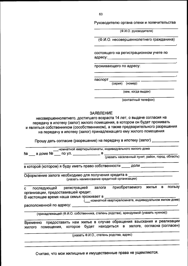
"О внесении изменения в приказ Главного управления социальной защиты населения Курганской области от 21 августа 2017 года № 463 "Об утверждении Административного регламента предоставления органами местного самоуправления муниципальных районов и городских округов Курганской области государственной услуги по выдаче предварительных разрешений (согласий), затрагивающих осуществление имущественных прав несовершеннолетних, недееспособных, ограниченно дееспособных граждан"
Номер опубликования: 4501201811200001
Дата опубликования: 20.11.2018
Страница №63 из 104:
Увеличить