Официальное опубликование правовых актов
ОФИЦИАЛЬНОЕ ОПУБЛИКОВАНИЕ
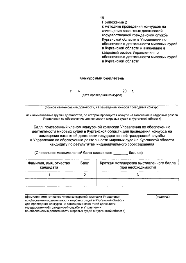
Приказ Управления по обеспечению деятельности мировых судей в Курганской области от 20.08.2018 № 94
"О конкурсной комиссии Управления по обеспечению деятельности мировых судей в Курганской области для проведения конкурса на замещение вакантной должности государственной гражданской службы Курганской области в Управлении по обеспечению деятельности мировых судей в Курганской области"
Номер опубликования: 4501201808240001
Дата опубликования: 24.08.2018
Страница №19 из 27:
Увеличить