Официальное опубликование правовых актов
ОФИЦИАЛЬНОЕ ОПУБЛИКОВАНИЕ
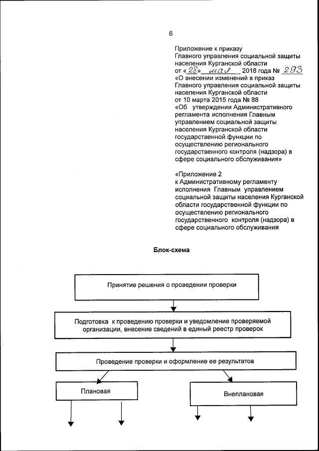
Приказ Главного управления социальной защиты населения Курганской области от 28.05.2018 № 293
"О внесении изменений в приказ Главного управления социальной защиты населения Курганской области от 10 марта 2015 года № 88 "Об утверждении Административного регламента исполнения Главным управлением социальной защиты населения Курганской области государственной функции по осуществлению регионального государственного контроля (надзора) в сфере социального обслуживания"
Номер опубликования: 4501201805290002
Дата опубликования: 29.05.2018
Страница №6 из 8:
Увеличить