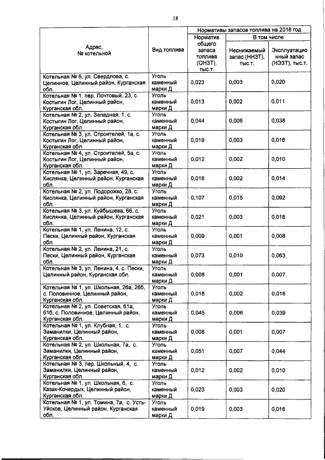
Постановление Департамента государственного регулирования цен и тарифов Курганской области от 26.09.2017 № 33-6
"Об утверждении нормативов запасов топлива на источниках тепловой энергии, за исключением источников тепловой энергии, функционирующих в режиме комбинированной выработки электрической и тепловой энергии с установленной мощностью производства электрической энергии 25 мегаватт и более, для регулируемых теплоснабжающих организаций Курганской области на 2018 год"
"Об утверждении нормативов запасов топлива на источниках тепловой энергии, за исключением источников тепловой энергии, функционирующих в режиме комбинированной выработки электрической и тепловой энергии с установленной мощностью производства электрической энергии 25 мегаватт и более, для регулируемых теплоснабжающих организаций Курганской области на 2018 год"
Номер опубликования: 4501201710020006
Дата опубликования:
02.10.2017
