Официальное опубликование правовых актов
ОФИЦИАЛЬНОЕ ОПУБЛИКОВАНИЕ
Приказ Управления по печати, средствам массовой информации и архивному делу Курганской области от 01.08.2017 № 18-о/д
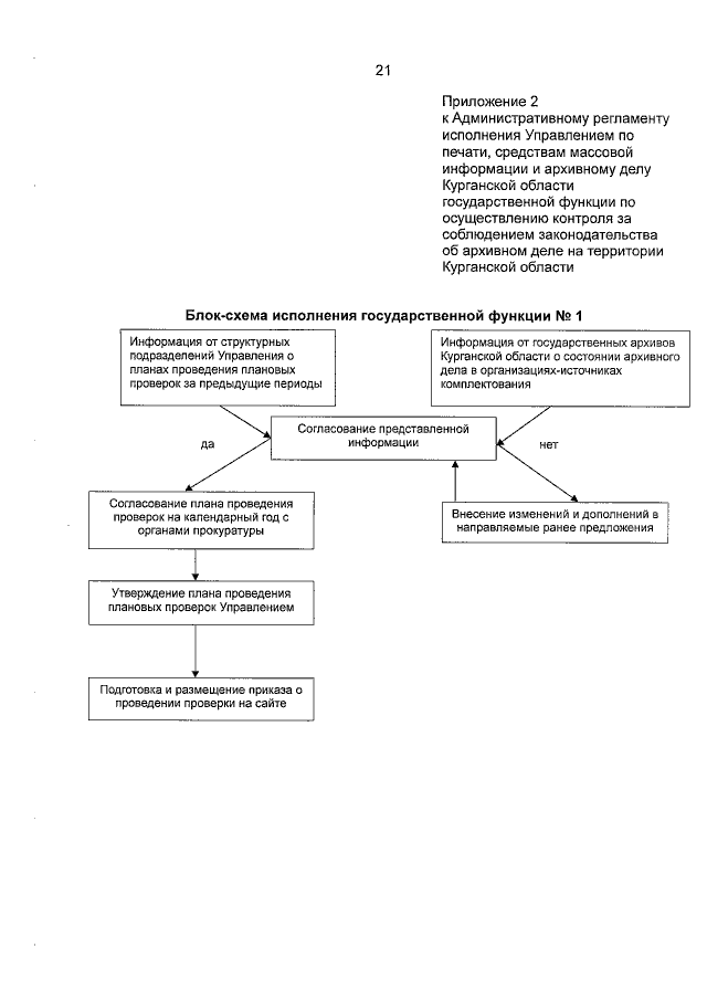
"Об утверждении Административного регламента исполнения Управлением по печати, средствам массовой информации и архивному делу Курганской области государственной функции по осуществлению контроля за соблюдением законодательства об архивном деле на территории Курганской области"
Номер опубликования: 4501201708030002
Дата опубликования: 03.08.2017
Страница №21 из 41:
Увеличить