Официальное опубликование правовых актов
ОФИЦИАЛЬНОЕ ОПУБЛИКОВАНИЕ
Приказ Главного управления социальной защиты населения Курганской области от 17.05.2017 № 260
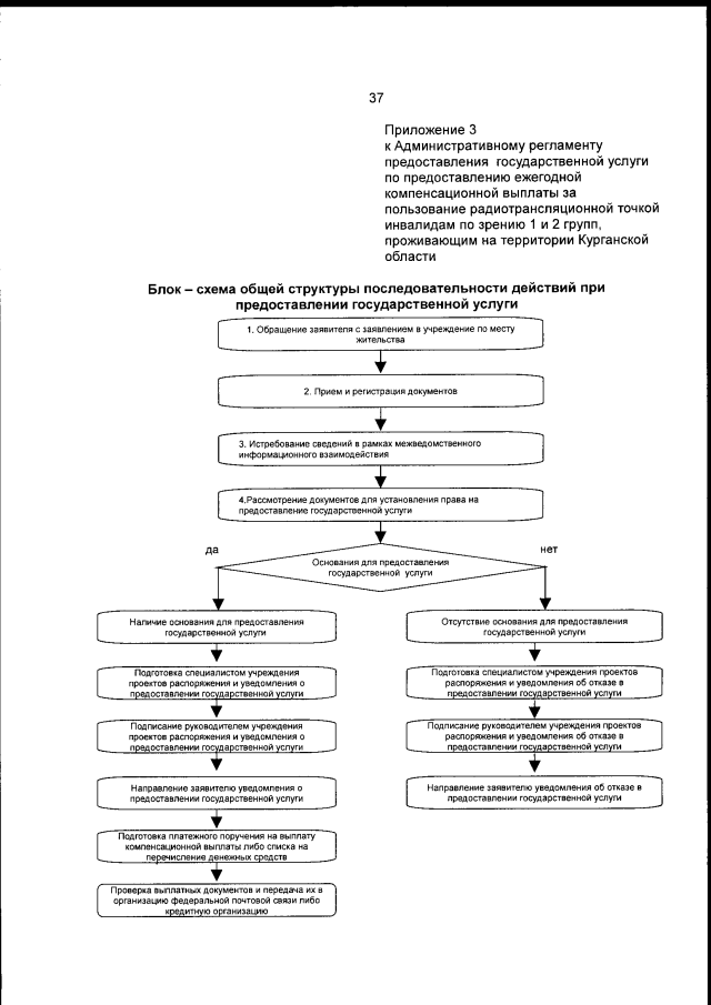
"О внесении изменения в приказ Главного управления социальной защиты населения Курганской области от 20 января 2017 года № 39 "Об утверждении Административного регламента предоставления государственной услуги по предоставлению ежегодной компенсационной выплаты за пользование радиотрансляционной точкой инвалидам по зрению 1 и 2 групп, проживающим на территории Курганской области"
Номер опубликования: 4501201705180002
Дата опубликования: 18.05.2017
Страница №37 из 44:
Увеличить