Официальное опубликование правовых актов
ОФИЦИАЛЬНОЕ ОПУБЛИКОВАНИЕ
Приказ Главного управления социальной защиты населения Курганской области от 20.01.2017 № 46
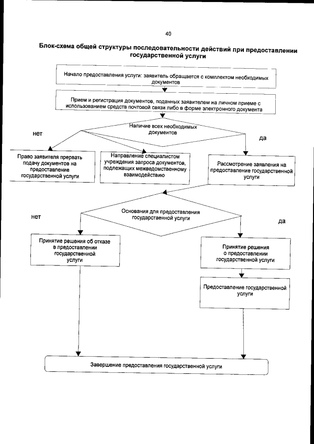
"Об утверждении Административного регламента предоставления государственной услуги по оказанию государственной социальной помощи на развитие личного подсобного хозяйства малоимущим семьям, воспитывающим пять и более несовершеннолетних детей"
Номер опубликования: 4501201701230004
Дата опубликования: 23.01.2017
Страница №40 из 43:
Увеличить