Официальное опубликование правовых актов
ОФИЦИАЛЬНОЕ ОПУБЛИКОВАНИЕ
Приказ Главного управления социальной защиты населения Курганской области от 20.01.2017 № 53
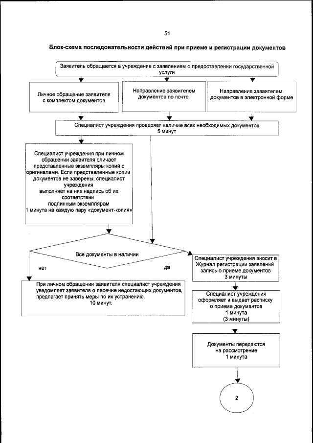
"Об утверждении Административного регламента предоставления государственных услуг по назначению и выплате ежемесячного пособия женщинам, вставшим на учет в медицинских организациях Курганской области в ранние сроки беременности (до 12 недель), единовременного пособия при рождении (усыновлении) одновременно двух и более детей, единовременной выплаты при рождении третьего или последующего ребенка, ежемесячной денежной выплаты при рождении (усыновлении) третьего ребенка или последующих детей"
Номер опубликования: 4501201701230002
Дата опубликования: 23.01.2017
Страница №51 из 56:
Увеличить