Официальное опубликование правовых актов
ОФИЦИАЛЬНОЕ ОПУБЛИКОВАНИЕ
Постановление Департамента государственного регулирования цен и тарифов Курганской области от 22.12.2016 № 46-1
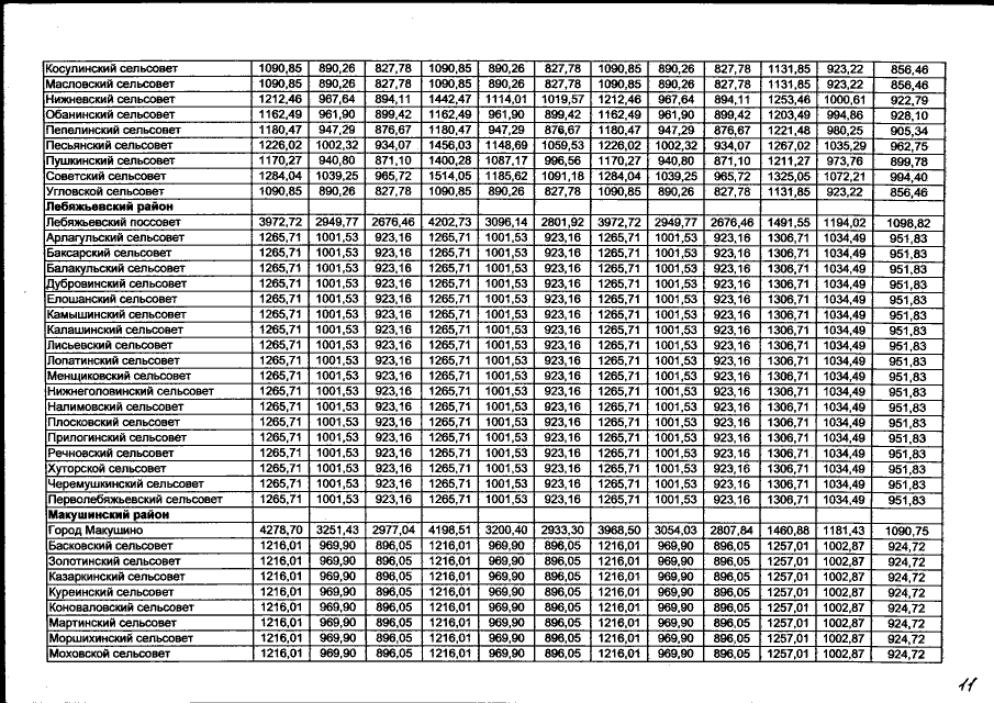
"О внесении изменений в постановление Департамента государственного регулирования цен и тарифов Курганской области от 24 ноября 2016 года № 40-1 "Об установлении размеров региональных стандартов стоимости жилищно-коммунальных услуг по муниципальным образованиям Курганской области на 2017 год"
Номер опубликования: 4501201612260002
Дата опубликования: 26.12.2016
Страница №11 из 18:
Увеличить