Официальное опубликование правовых актов
ОФИЦИАЛЬНОЕ ОПУБЛИКОВАНИЕ
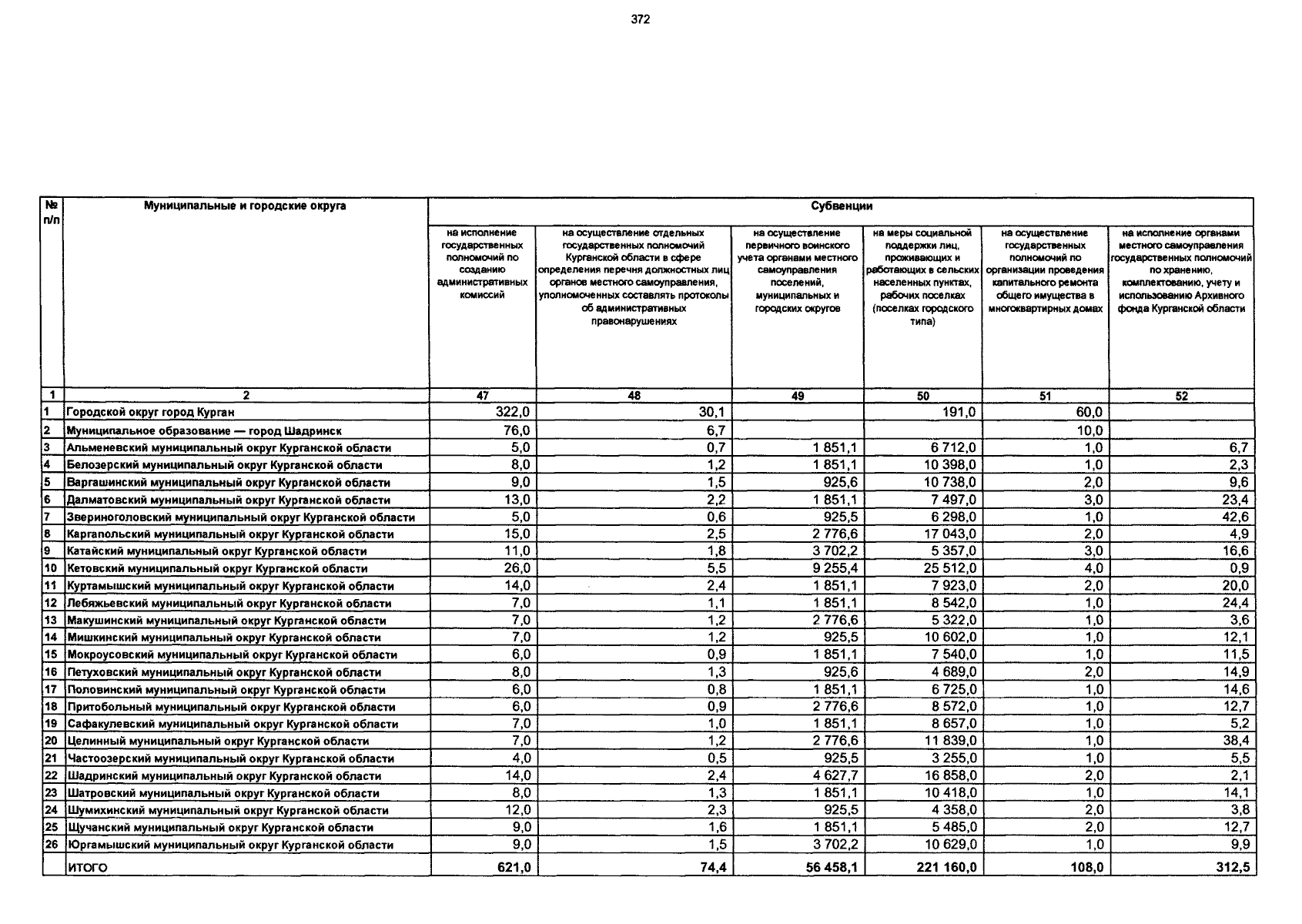
Закон Курганской области от 24.12.2025 № 70
"Об областном бюджете на 2026 год и на плановый период 2027 и 2028 годов"
Номер опубликования: 4500202512250001
Дата опубликования: 25.12.2025
Страница №372 из 384:
Увеличить