Официальное опубликование правовых актов
ОФИЦИАЛЬНОЕ ОПУБЛИКОВАНИЕ
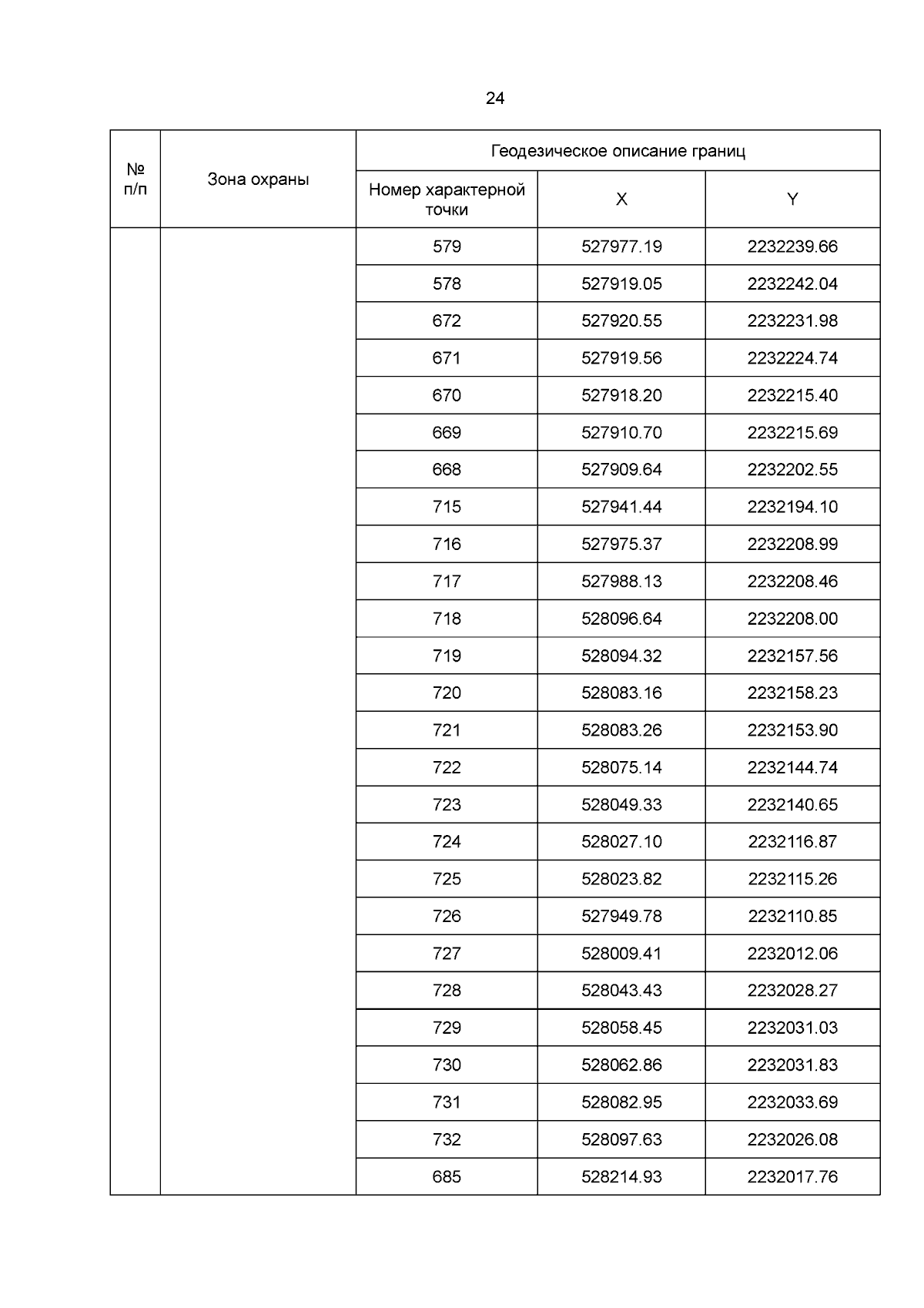
Постановление Правительства Курганской области от 29.05.2025 № 166
"О внесении изменений в постановление Правительства Курганской области от 12 ноября 2013 года № 575"
Номер опубликования: 4500202506030011
Дата опубликования: 03.06.2025
Страница №24 из 75:
Увеличить