Официальное опубликование правовых актов
ОФИЦИАЛЬНОЕ ОПУБЛИКОВАНИЕ
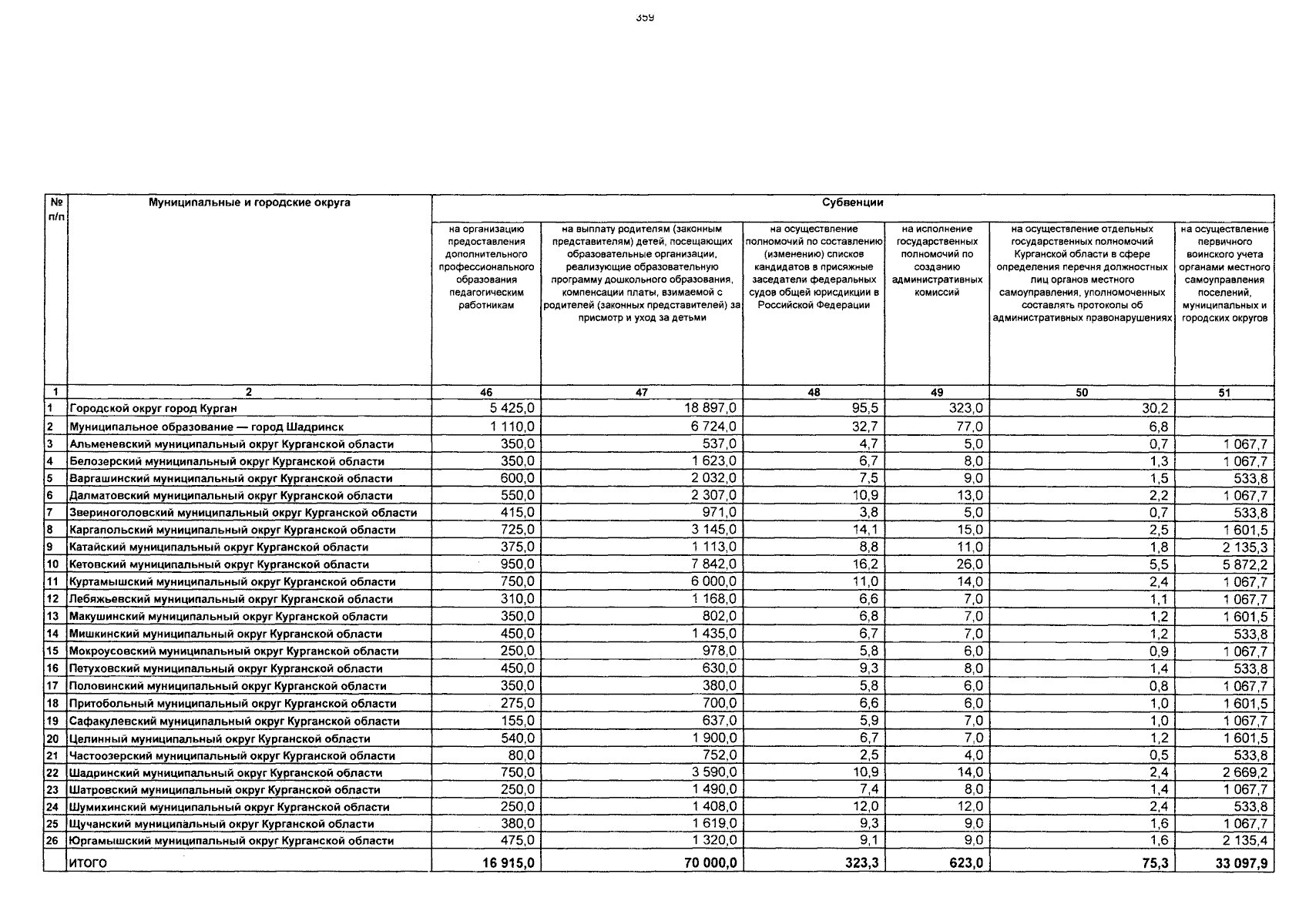
Закон Курганской области от 24.12.2024 № 75
"Об областном бюджете на 2025 год и на плановый период 2026 и 2027 годов"
Номер опубликования: 4500202412250013
Дата опубликования: 25.12.2024
Страница №359 из 370:
Увеличить