Официальное опубликование правовых актов
ОФИЦИАЛЬНОЕ ОПУБЛИКОВАНИЕ
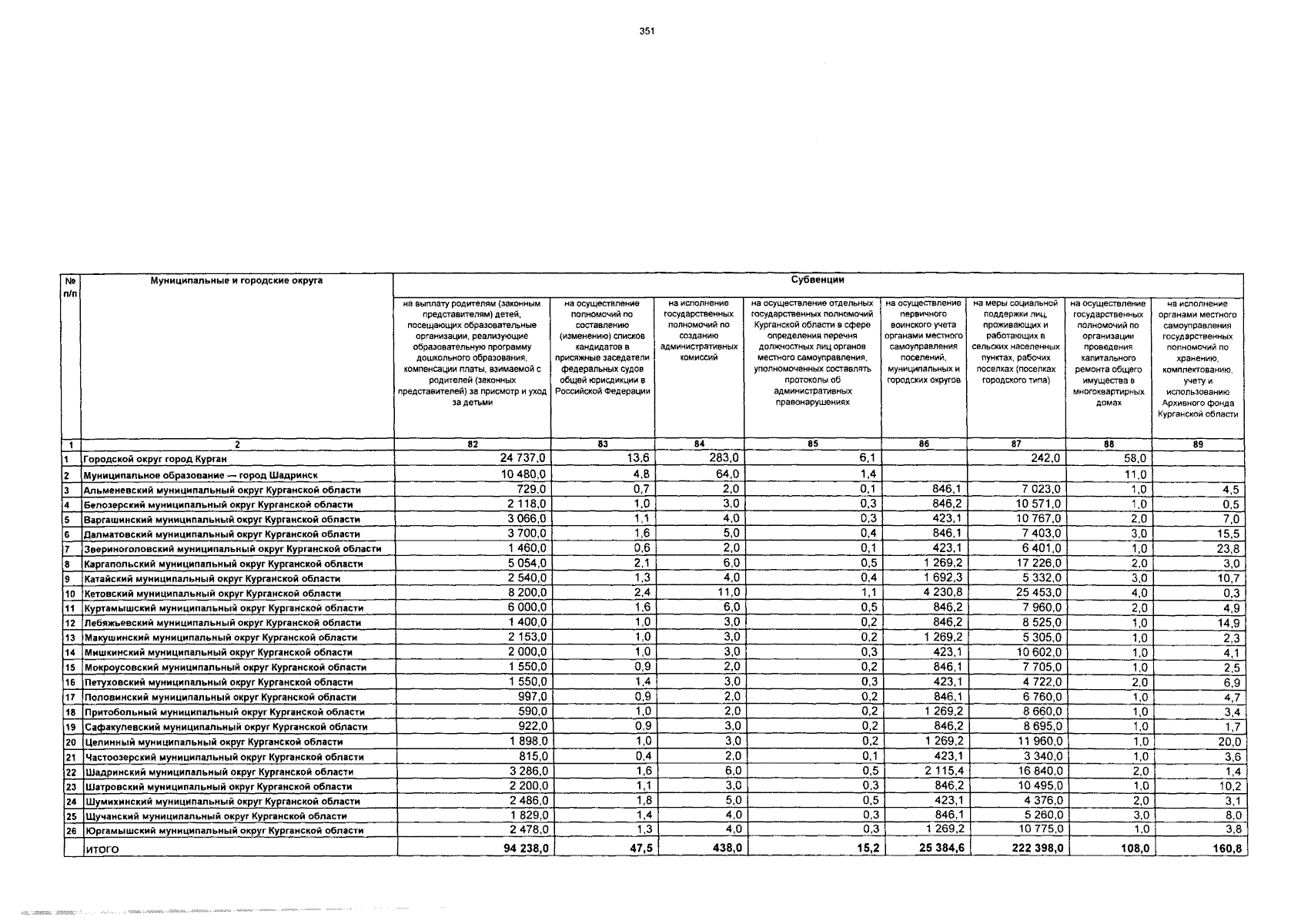
Закон Курганской области от 25.09.2024 № 40
"О внесении изменений в Закон Курганской области "Об областном бюджете на 2024 год и на плановый период 2025 и 2026 годов"
Номер опубликования: 4500202410010002
Дата опубликования: 01.10.2024
Страница №351 из 366:
Увеличить