Официальное опубликование правовых актов
ОФИЦИАЛЬНОЕ ОПУБЛИКОВАНИЕ
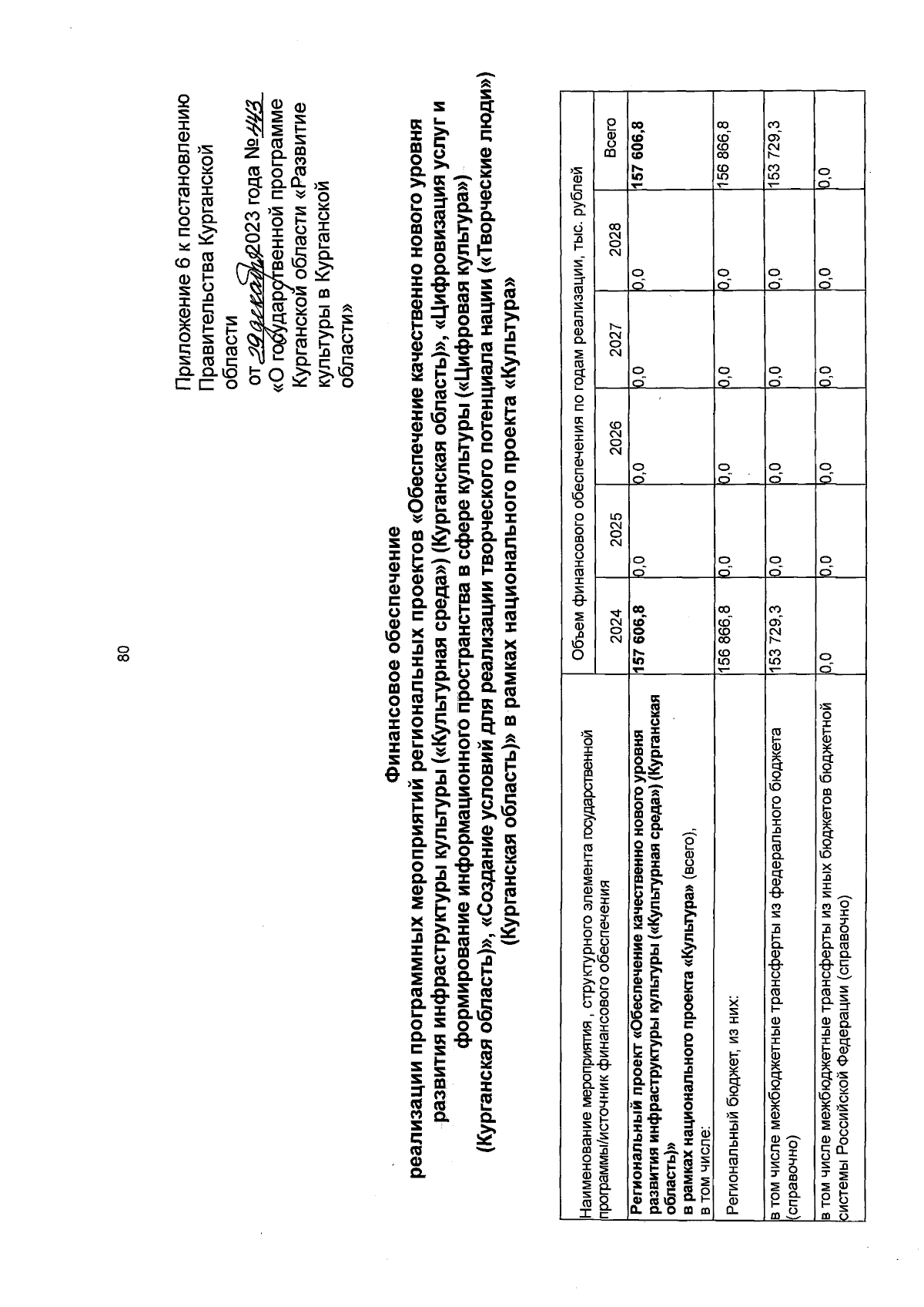
Постановление Правительства Курганской области от 29.12.2023 № 443
"О государственной программе Курганской области "Развитие культуры в Курганской области"
Номер опубликования: 4500202312300014
Дата опубликования: 30.12.2023
Страница №80 из 131:
Увеличить