Официальное опубликование правовых актов
ОФИЦИАЛЬНОЕ ОПУБЛИКОВАНИЕ
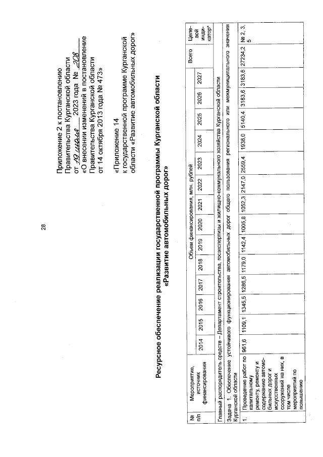
Постановление Правительства Курганской области от 19.07.2023 № 208
"О внесении изменений в постановление Правительства Курганской области от 14 октября 2013 года № 473"
Номер опубликования: 4500202307210004
Дата опубликования: 21.07.2023
Страница №28 из 34:
Увеличить