Официальное опубликование правовых актов
ОФИЦИАЛЬНОЕ ОПУБЛИКОВАНИЕ
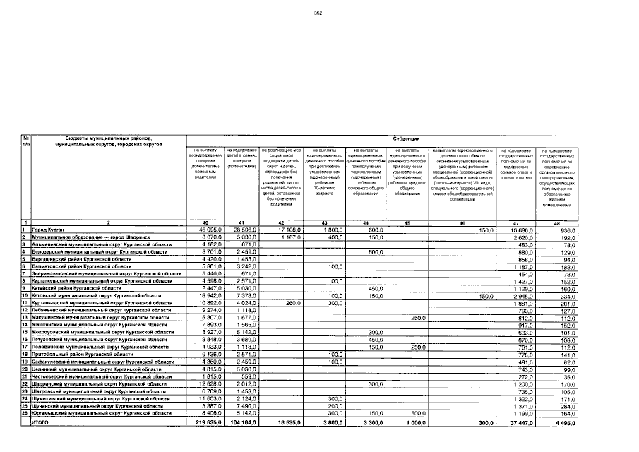
Закон Курганской области от 29.06.2023 № 32
"О внесении изменений в Закон Курганской области "Об областном бюджете на 2023 год и на плановый период 2024 и 2025 годов"
Номер опубликования: 4500202307030001
Дата опубликования: 03.07.2023
Страница №362 из 377:
Увеличить