Официальное опубликование правовых актов
ОФИЦИАЛЬНОЕ ОПУБЛИКОВАНИЕ
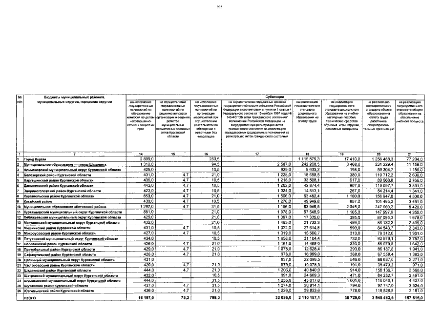
Закон Курганской области от 28.12.2022 № 100
"О внесении изменений в Закон Курганской области "Об областном бюджете на 2022 год и на плановый период 2023 и 2024 годов"
Номер опубликования: 4500202212280008
Дата опубликования: 28.12.2022
Страница №393 из 403:
Увеличить