Официальное опубликование правовых актов
ОФИЦИАЛЬНОЕ ОПУБЛИКОВАНИЕ
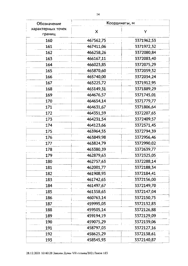
Закон Курганской области от 29.12.2021 № 177
"Об установлении границ муниципального образования Частоозерского муниципального округа Курганской области"
Номер опубликования: 4500202112300025
Дата опубликования: 30.12.2021
Страница №14 из 24:
Увеличить