Официальное опубликование правовых актов
ОФИЦИАЛЬНОЕ ОПУБЛИКОВАНИЕ
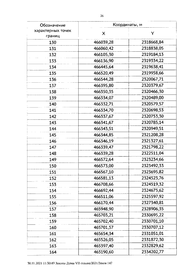
Закон Курганской области от 10.12.2021 № 144
"Об установлении границ муниципального образования Юргамышского муниципального округа Курганской области"
Номер опубликования: 4500202112130013
Дата опубликования: 13.12.2021
Страница №26 из 45:
Увеличить