Официальное опубликование правовых актов
ОФИЦИАЛЬНОЕ ОПУБЛИКОВАНИЕ
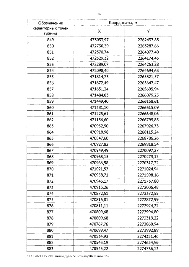
Закон Курганской области от 10.12.2021 № 146
"Об установлении границ муниципального образования Мишкинского муниципального округа Курганской области"
Номер опубликования: 4500202112130012
Дата опубликования: 13.12.2021
Страница №49 из 52:
Увеличить