Официальное опубликование правовых актов
ОФИЦИАЛЬНОЕ ОПУБЛИКОВАНИЕ
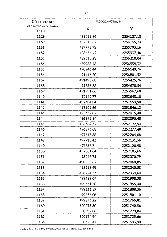
Закон Курганской области от 10.12.2021 № 141
"Об установлении границ муниципального образования Шадринского муниципального округа Курганской области"
Номер опубликования: 4500202112130007
Дата опубликования: 13.12.2021
Страница №95 из 126:
Увеличить