Официальное опубликование правовых актов
ОФИЦИАЛЬНОЕ ОПУБЛИКОВАНИЕ
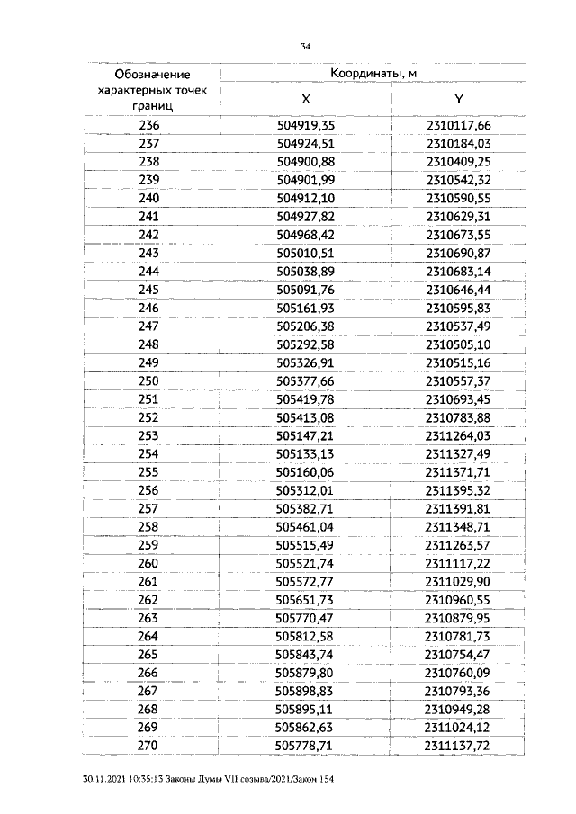
Закон Курганской области от 10.12.2021 № 138
"Об установлении границ муниципального образования Каргапольского муниципального округа Курганской области"
Номер опубликования: 4500202112130002
Дата опубликования: 13.12.2021
Страница №34 из 84:
Увеличить