Официальное опубликование правовых актов
ОФИЦИАЛЬНОЕ ОПУБЛИКОВАНИЕ
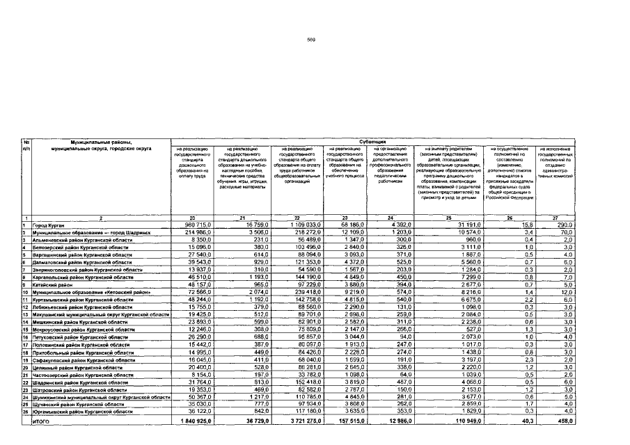
Закон Курганской области от 08.10.2021 № 110
"О внесении изменений в Закон Курганской области "Об областном бюджете на 2021 год и на плановый период 2022 и 2023 годов"
Номер опубликования: 4500202110080009
Дата опубликования: 08.10.2021
Страница №569 из 580:
Увеличить