Официальное опубликование правовых актов
ОФИЦИАЛЬНОЕ ОПУБЛИКОВАНИЕ
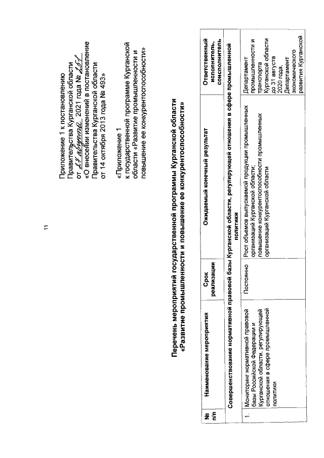
Постановление Правительства Курганской области от 27.08.2021 № 251
"О внесении изменений в постановление Правительства Курганской области от 14 октября 2013 года № 493"
Номер опубликования: 4500202109010001
Дата опубликования: 01.09.2021
Страница №11 из 53:
Увеличить