Официальное опубликование правовых актов
ОФИЦИАЛЬНОЕ ОПУБЛИКОВАНИЕ
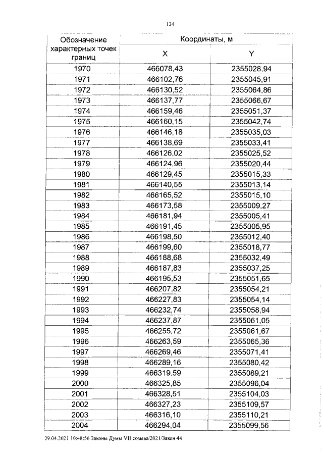
Закон Курганской области от 12.05.2021 № 60
"Об установлении границ муниципального образования Кетовского района Курганской области"
Номер опубликования: 4500202105140013
Дата опубликования: 14.05.2021
Страница №124 из 129:
Увеличить