Официальное опубликование правовых актов
ОФИЦИАЛЬНОЕ ОПУБЛИКОВАНИЕ
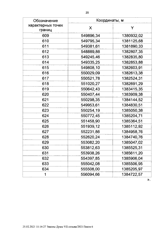
Закон Курганской области от 02.03.2021 № 15
"О внесении изменений в Закон Курганской области "Об установлении границ муниципального образования Ушаковского сельсовета Катайского района Курганской области"
Номер опубликования: 4500202103030005
Дата опубликования: 03.03.2021
Страница №20 из 20:
Увеличить