Официальное опубликование правовых актов
ОФИЦИАЛЬНОЕ ОПУБЛИКОВАНИЕ
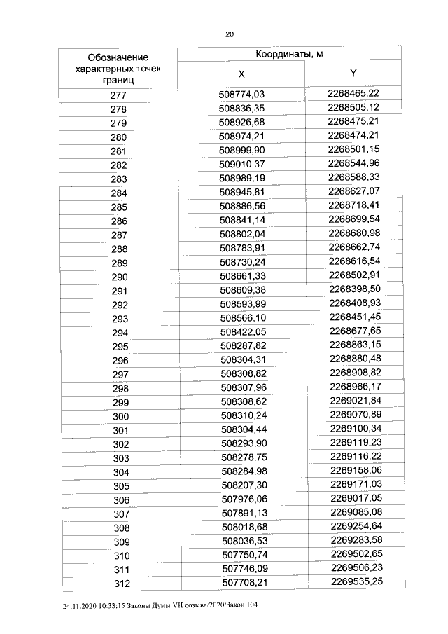
Закон Курганской области от 30.11.2020 № 112
"Об установлении границ муниципального образования Красномыльского сельсовета Шадринского района Курганской области"
Номер опубликования: 4500202012010014
Дата опубликования: 01.12.2020
Страница №20 из 21:
Увеличить