Официальное опубликование правовых актов
ОФИЦИАЛЬНОЕ ОПУБЛИКОВАНИЕ
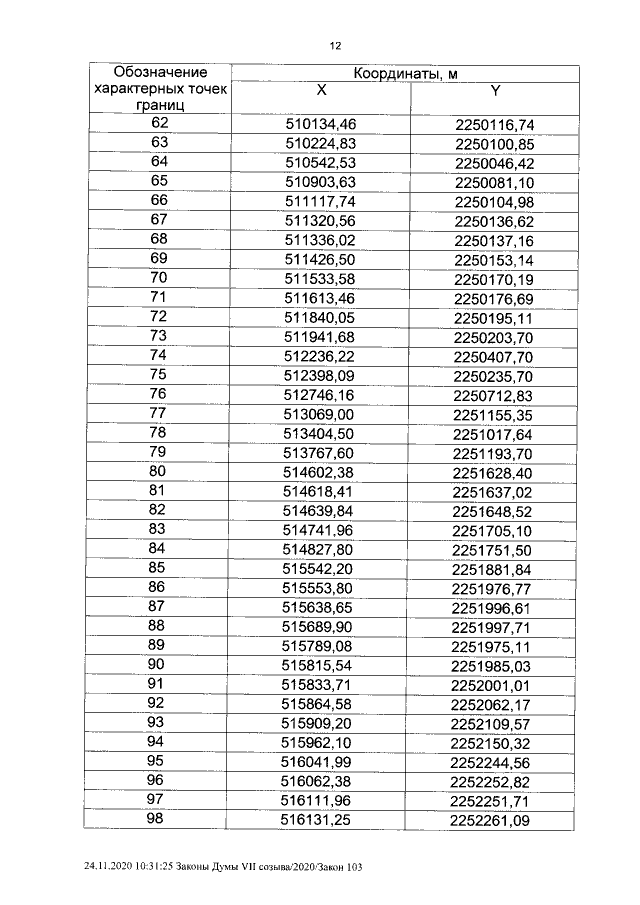
Закон Курганской области от 30.11.2020 № 111
"Об установлении границ муниципального образования Коврижского сельсовета Шадринского района Курганской области"
Номер опубликования: 4500202012010012
Дата опубликования: 01.12.2020
Страница №12 из 19:
Увеличить