Официальное опубликование правовых актов
ОФИЦИАЛЬНОЕ ОПУБЛИКОВАНИЕ
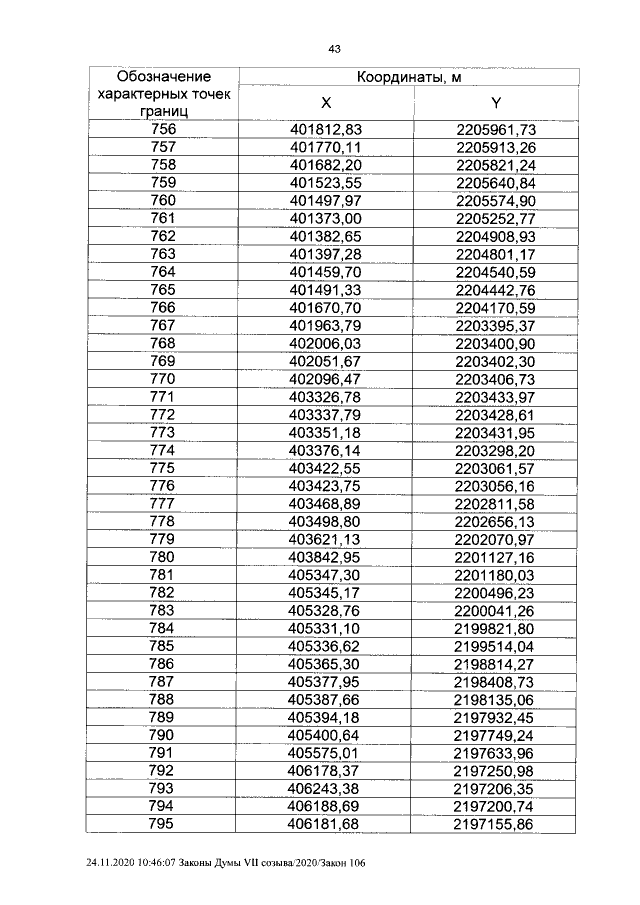
Закон Курганской области от 30.11.2020 № 117
"О внесении изменений в Закон Курганской области "Об установлении границ муниципального образования Щучанского района Курганской области"
Номер опубликования: 4500202012010004
Дата опубликования: 01.12.2020
Страница №43 из 51:
Увеличить