Официальное опубликование правовых актов
ОФИЦИАЛЬНОЕ ОПУБЛИКОВАНИЕ
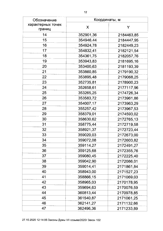
Закон Курганской области от 28.10.2020 № 95
"О внесении изменений в Закон Курганской области "Об установлении границ муниципального образования Сарт-Абдрашевского сельсовета Сафакулевского района Курганской области"
Номер опубликования: 4500202010300006
Дата опубликования: 30.10.2020
Страница №12 из 21:
Увеличить