Официальное опубликование правовых актов
ОФИЦИАЛЬНОЕ ОПУБЛИКОВАНИЕ
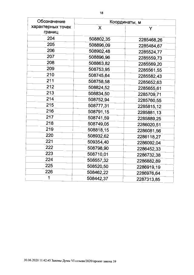
Закон Курганской области от 30.06.2020 № 72
"Об установлении границ муниципального образования Погорельского сельсовета Шадринского района Курганской области"
Номер опубликования: 4500202007030022
Дата опубликования: 03.07.2020
Страница №18 из 18:
Увеличить