Официальное опубликование правовых актов
ОФИЦИАЛЬНОЕ ОПУБЛИКОВАНИЕ
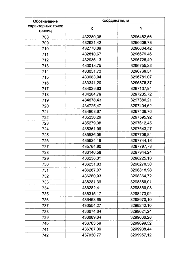
Закон Курганской области от 23.06.2020 № 51
"Об установлении границ муниципального образования Макушинского муниципального округа Курганской области"
Номер опубликования: 4500202006230011
Дата опубликования: 23.06.2020
Страница №43 из 44:
Увеличить