Официальное опубликование правовых актов
ОФИЦИАЛЬНОЕ ОПУБЛИКОВАНИЕ
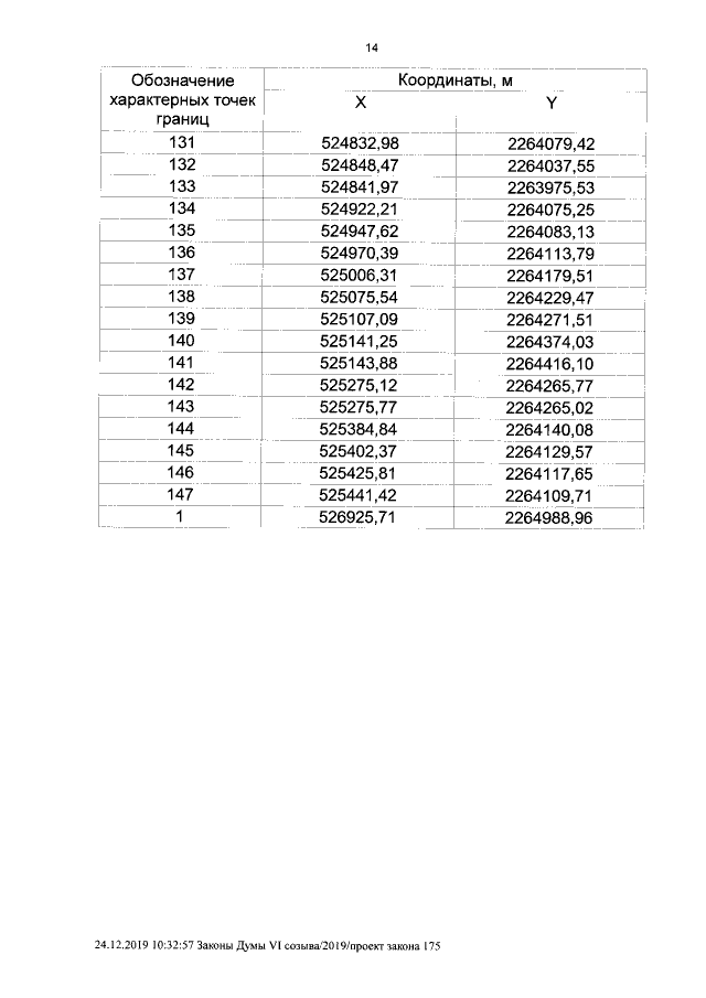
Закон Курганской области от 30.12.2019 № 181
"Об установлении границ муниципального образования Канашского сельсовета Шадринского района Курганской области"
Номер опубликования: 4500201912310013
Дата опубликования: 31.12.2019
Страница №14 из 14:
Увеличить