Официальное опубликование правовых актов
ОФИЦИАЛЬНОЕ ОПУБЛИКОВАНИЕ
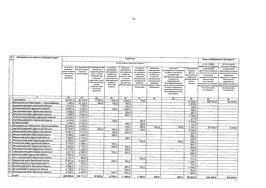
Закон Курганской области от 12.12.2019 № 170
"О внесении изменений в Закон Курганской области "Об областном бюджете на 2019 год и на плановый период 2020 и 2021 годов"
Номер опубликования: 4500201912160006
Дата опубликования: 16.12.2019
Страница №593 из 593:
Увеличить