Официальное опубликование правовых актов
ОФИЦИАЛЬНОЕ ОПУБЛИКОВАНИЕ
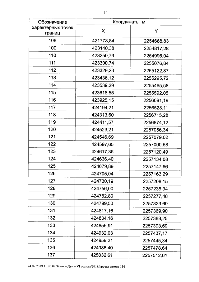
Закон Курганской области от 26.09.2019 № 147
"Об установлении границ муниципального образования Кушмянского сельсовета Шумихинского района Курганской области"
Номер опубликования: 4500201909300012
Дата опубликования: 30.09.2019
Страница №14 из 16:
Увеличить