Официальное опубликование правовых актов
ОФИЦИАЛЬНОЕ ОПУБЛИКОВАНИЕ
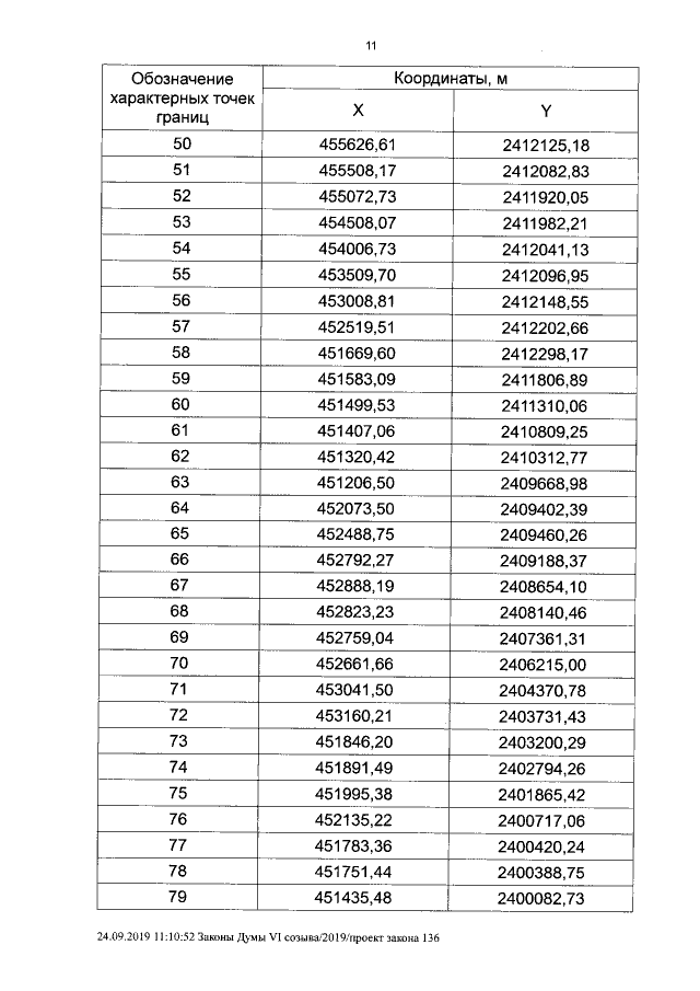
Закон Курганской области от 26.09.2019 № 144
"Об установлении границ муниципального образования Падеринского сельсовета Кетовского района Курганской области"
Номер опубликования: 4500201909300005
Дата опубликования: 30.09.2019
Страница №11 из 19:
Увеличить