Официальное опубликование правовых актов
ОФИЦИАЛЬНОЕ ОПУБЛИКОВАНИЕ
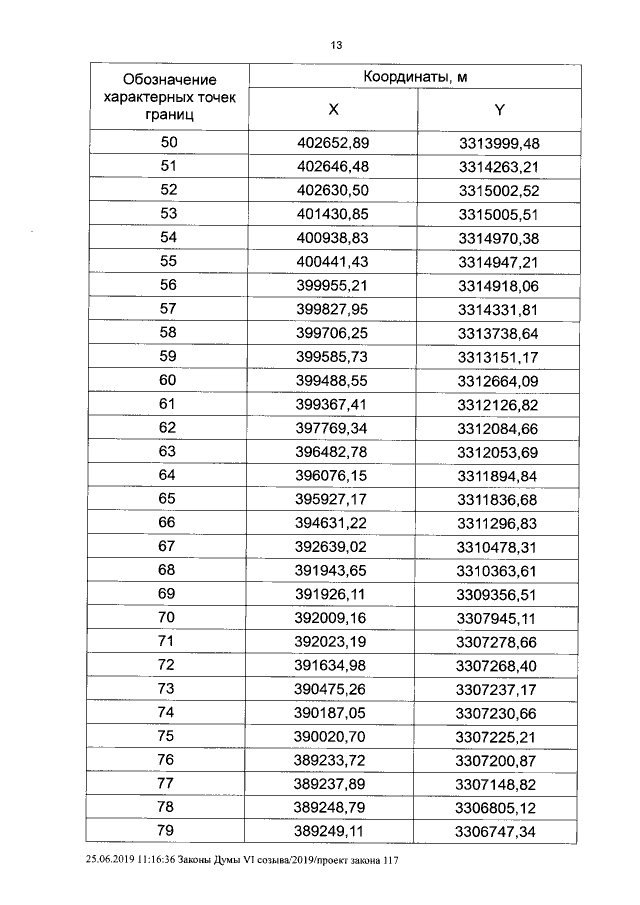
Закон Курганской области от 27.06.2019 № 113
"Об установлении границ муниципального образования Сетовнинского сельсовета Макушинского района Курганской области"
Номер опубликования: 4500201907020011
Дата опубликования: 02.07.2019
Страница №13 из 16:
Увеличить