Официальное опубликование правовых актов
ОФИЦИАЛЬНОЕ ОПУБЛИКОВАНИЕ
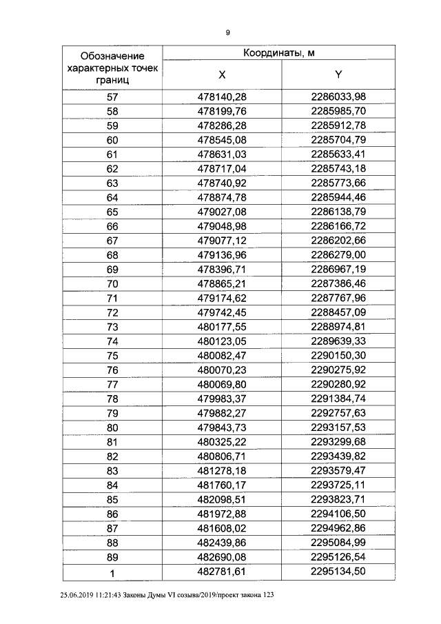
Закон Курганской области от 27.06.2019 № 115
"Об установлении границ муниципального образования Новопесковского сельсовета Мишкинского района Курганской области"
Номер опубликования: 4500201907020010
Дата опубликования: 02.07.2019
Страница №9 из 9:
Увеличить