Официальное опубликование правовых актов
ОФИЦИАЛЬНОЕ ОПУБЛИКОВАНИЕ
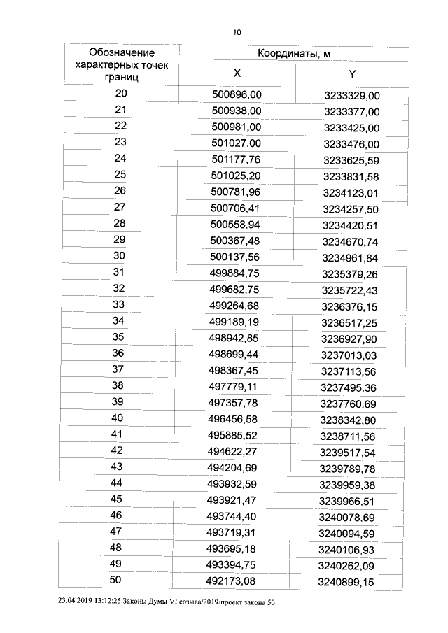
Закон Курганской области от 29.04.2019 № 56
"Об установлении границ муниципального образования Шастовского сельсовета Варгашинского района Курганской области"
Номер опубликования: 4500201905060019
Дата опубликования: 06.05.2019
Страница №10 из 15:
Увеличить